Buku Analisis Nisbah
Bab 1 Ting 5 Analisis Nisbah Worksheet
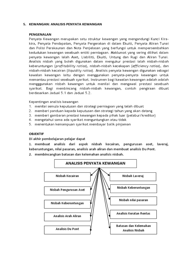
Topik5 Analisis Penyata Kewangan Pdf
Sapura Docx Analisis Nisbah Kewangan Merupakan Satu Kaedah Bagi Mengenal Pasti Prestasi Sesebuah Organisasi Melalui Pengenalpastian Simptom Masalah Course Hero
Pengiraan Nisbah Dan Tafsiran Nisbah Semasa Pdf
Analisis Nisbah Word Keberuntungan

0 Response to "Buku Analisis Nisbah"
Post a Comment